Alteration In The Genetic Material Point Mutation
A gene mutation is an abrupt inheritable qualitative or quantitative change in the genetic material of an organism.
- Since in most organisms, genes are segments of DNA molecules, a mutation can be regarded as a change in the DNA sequence which is reflected in the change of sequence of corresponding RNA or protein molecules.
- Such a change may involve only one base/base pair or more than one base pair of DNA. Mutations occur randomly, Le., they are not directed according to the requirements of the organism.
- Most mutations occur spontaneously by the environmental effect, however, they can be induced in the laboratory either by radiation, physical factors or chemicals (called mutagens).
- A unicellular organism is more subjected to environmental attacks since it is at the same time a somatic or germ cell.
- In multicellular organisms, the germ cells are distinct and are relatively protected from the environment. Mutation has a significant role to play in the origin of species or evolution.
Historical Background
The earliest record of point mutations dates back to 1791 when Seth Wright noticed a lamb with exceptionally short legs in his flock of sheep.
- Visualising the economic significance of this short-legged sheep. i.e., short-legged sheep could not cross the low stone fence and damage the crop fields in the vicinity, he produced a flock of sheep, each of which had short legs by employing artificial breeding techniques.
- The short-legged breed of sheep was known as the Ancon breed. Later on, the trait of short legs was found to have resulted from a recessive mutation and the short-legged individuals were found to be homozygous recessive.

- Hugo de Vries was the first hybridist who used the term “mutation” to describe the heritable phenotypic changes of the evening primrose.
- Oenothera lamarckiana. Many mutations described by de Vries in O. lamarckiana, are now known to be due to variation in chromosome number or ploidy and chromosomal aberrations (viz. gross mutations).
- The first scientific study of mutation was started in 1910, when Morgan started his work on fruitfly, Drosophila melanogaster and reported white-eyed male individuals among red-eyed male individuals.
- The discovery of white-eyed mutants in Drosophila was followed by an extensive search of other mutants of Drosophila by Morgan and his co-workers and other geneticists.
- Consequently, about 500 mutants of Drosophila have been reported by geneticists all over the world.
- Later on, several cases of mutations have been reported in a variety of microorganisms (for example., bacteriophages, bacteria(Escherichia coli), Neurospora, etc., plants (i.e., pea, snapdragon, maize, etc.) and animals, (i.e., rodents, fowls, human beings, etc.).
Occurrence
Mutations occur frequently in nature and have been reported in many organisms, e.g., Drosophila, mice and other rodents, rats, rabbits, guinea pigs and human beings.
- In Drosophila, the mutation causes white and pink eyes, black and yellow body colours, and vestigial wings. In rodents, the mutations are responsible for black, white and brown coats.
- In human beings, the mutations cause variations in hair colour, eye colour, skin pigmentation and several somatic malformations. Various genetic diseases of human beings such as haemophila, colour blindness, phenylketonuria, etc., form other examples of mutation in human beings.
- How does a mutation act? Any change in the sequence of nucleotides in the DNA will result in the corresponding change in the nucleotide sequence of mRNA.
- This may result in the alignment of different tRNA molecules on mRNA (during protein synthesis).
- Thus, the amino acid sequence, and, hence, the structure and properties of the enzyme formed will be changed. This defective enzyme or structural protein may adversely affect the trait controlled by the protein. In consequence, a mutant phenotype makes its expression.
Kinds Of Mutations
There exists a lot of controversy among geneticists about the possible kinds of mutations. Mutations have been classified variously according to different criteria as follows:
Classification Of Mutation According To Type Of Cells: According to their occurrence in somatic and germinal cells, the following types of mutations have been classified:
Somatic Mutations: The mutations occurring in non-reproductive body cells are known as somatic mutations. The genetical and evolutionary consequences of somatic mutations are insignificant since only single cells and their daughter cells are involved.
- If, however, a somatic mutation occurs early during embryonic life, the mutant cells may constitute a large proportion of body cells and the animal body may be a mosaic of different types of cells.
- Somatic mutations have often been related to malignant(cancerous) growth.
- Examples of somatic mutation have been reported in Oenothera lamarckiana (by Hugo de Vries) and several other cases including human beings.
- In human beings, the somatic mutation causes several fatal diseases such as paroxysmal nocturnal haemoglobinuria, circumscribed neurofibroma, unilateral retinoblastoma and heterochromia of the iris.

Gametic Mutations: The mutations occurring in gamete cells(e.g., sperms and ova) are called gametic mutations. Such mutations are heritable and of great genetic significance. The gametic mutations only form the raw material for natural selection.


Classification of Mutations According to the Size and Quality: According to size, the following two types of mutations have been recognised:
Point Mutation: Wien heritable alterations occur in a very small segment of DNA molecule. a single nucleotide or nucleotide pair, then these types of mutations are called “point mutations”. The point mutations may occur due to the following types of subnucleotidechange in the DNA and RNA.
- Deletion Mutations: The point mutation which is caused by to loss or deletion of some portion (single nucleotide pair) in a triplet codon of cistron or gene is called deletion mutation. Deletion mutations have been frequently reported in some bacteriophages(Phage T4).
- Insertion Or Addition Mutation: The point mutations which occur due to the addition of one or more extra nucleotides to a gene or cistron are called insertion mutations. The insertion mutations can be artificially induced by certain chemical substances called mutagens such as acridine dye and proflavin.
A proflavin molecule, it is believed, inserts between two successive bases of a DNA strand, thereby stretching the strand lengthwise.
- At replication, this situation would allow the insertion of an extra nucleotide in the complementary chain at the position occupied by the proflavin molecule.
- The mutations which arise from the insertion or deletion of individual nucleotides and cause the rest of the message downstream of the mutation to be read out of phase are called frameshift mutations.
- They result in the production of an incorrect, hence, inactive protein, due to which death of the cell may occur.

Substitution Mutation: A point mutation in which a nucleotide of a triplet is replaced by another nucleotide is called substitution mutation.
- The substitution mutation affects only a particular triplet codon.
- Such an altered code word (triplet codon) may designate a different amino acid and may result in the production of a protein with a single amino acid substitution.
- The substitution mutations alter the phenotype of an organism variously and are of great genetic significance. They may be of the following types:

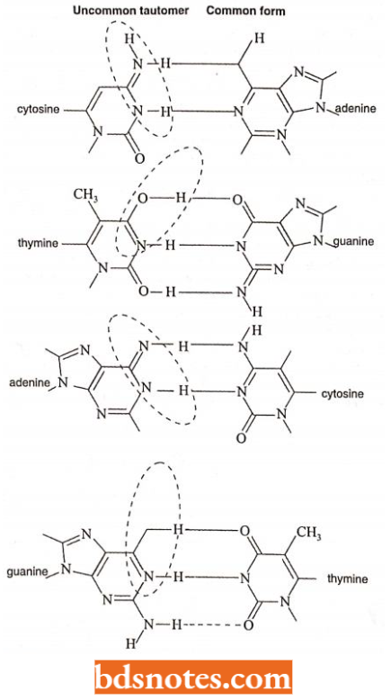
Transition: When a purine(for example., adenine) base of a triplet codon of a cistron is substituted by another purine base (for example., guanine) or a pyrimidine (for example., thymine) is substituted by another pyrimidine base,(for example., cytosine) then such kind of substitution is called transition. Transitional substitution mutations occur due to tautomerization.
Tautomerization: In a DNA molecule, normally, the purine, adenine(A) is linked to the pyrimidine, thymine (T), by two hydrogen bonds, while the purine guanine(G) is linked to the pyrimidine, cytosine(C) by three hydrogen bonds.
- Besides the common molecular configurations, each DNA base may have some altered uncommon molecular configuration.
- Such uncommon forms of DNA bases arc generated by single proton shifts and are called rare states or tautomers. A tautomeric shift is believed to occur when the amino(NH,) form of adenine is changed to an imino(NH) form.
- Similarly, a tautomeric shift may occur in thymine changing it from the keto(C – O) form to the rare enol(COH) form. When a base occurs in its rare or tautomeric state. it cannot be linked to its normal partner.
- However, a purine, such as adenine in its rare state can form a bond with cytosine(besides thymine), provided the cytosine is in its normal state.
- Watson and Crick (1953) hypothesised that the occurrence of the bases in their rare states provides a mechanism for mutation during DNA replication.
If for example, adenine in an old chain is in its rare state at the moment that the complementary new chain reaches it, cytosine can pair with it (adenine) and be added to the growing end of the new chain The result of this type of pairing is the formation of a DNA molecule that contains an exceptional base pair.
- This situation is not stable and at the next replication, adenine is expected to return to its common state and to pair with thymine. Cytosine introduced into the complementary strand due to tautomeric .shill in adenine, would then pair with guanine.
- Thus, there would be formed two kinds of DNA molecules, one that is identical to the original DNA and another that has undergone a base pair substitution of(i-C for A-T.
- This transitionally substituted DNA molecule has altered coding at a point and results in recognisable mutation. Such mutations which form during DNA replication are called copy error mutations. Such copy error mutations.
- The abnormal pairing due to transitional substitution may also occur due to the Ionisation of a base at the time of DNA replication. Ionisation involves the loss of hydrogen from the number one nitrogen of a base.
- For example, in its ionised state, thymine can pair with guanine, if the guanine is in its common form. Similarly, guanine in us ionised state can pair with thymine in its common form.
- From any such unstable base pair, a transition will result following the steps outlined for A-T to G-C and C i-C’ to A-T.

Effect Of Chemical Mutagens On Nucleotide Sequence
Alteration In Resting Nucleic Acid
Deamination: Some chemical substances such as nitrous acid cause transitional mutation due to oxidative deamination of DNA bases.
- In the process of oxidative deamination, the amino group(NH2) of a DNA base is replaced by the hydroxyl(OH) group by the chemical mutagen.
- Thus, adenine is deaminated into hypoxanthine by nitrous acid as shown in the following figure:

By tautomeric shift, the hypoxanthine(HX) is converted into a more common keto-tautomer which pairs with cytosine. The A: T pair, thus, can be converted to a G: C pair. Similarly, deamination converts cytosine to uracil, which has pairing properties similar to thymine and in such a case G: C pair would be changed into an A: T pair.

Hydroxylainine,(HA =NH2OH) and hydrazine (HZ =NH2NH2). When DNA is treated with hydroxylamine (HA), its cytosine base is the strongest reacting base.
- Hydroxylamine probably causes hydroxylation of cytosine at the amino group giving rise to hydroxylcytosinc, which then subsequently pairs with adenine. Thus, hydroxylamine(HA) induces in DNA a GC → AT base pair transition.
- The hydrazine affects DNA by breaking off rings of uracil and cytosine giving rise to pyrazolone and 3-amino pyrazole, respectively. The treatment of RNA or DNA with anhydrous hydrazine results in the destruction of their pyrimidines.

Alkylating agents: Some alkylating agents carry one, two, or more alkyl groups in a reactive form and act as strong mutagens.
Examples of some most extensively studied alkylating agents include diethyl sulphate(DES), dimethyl sulphate (DMS), methyl methane sulphonate (MMS), ethyl ethane sulphonate(EES) and ethyl methane sulphonate(EMS). These mutagens produce mutations in the following ways:
- They add ethyl or methyl groups to guanine. This makes guanine the base analogue to adenine.
- They remove the alkylated guanine. This is known as depurination. The loss of the base produces gaps in the DNA chain which may be filled with a wrong base, thus, producing mutation.
- The gap may also produce a deletion, causing mutation.
Alteration during Replication of Nucleic Acid
Base Analogues: Certain chemical substances have molecular structures similar to the usual DNA bases that, if they are available, such analogues may be incorporated into a replicating DNA strand.
- For example, 5-bromouracil(5BU) or its nucleoside 5-bromodeoxyuridine (5-BUdR) in its usual (keto) form is a structural analogue of thymine (5-methyluracil) and it will substitute for thymine.
- Thus, an A-T pair becomes and remains A-BU. There is some in vitro evidence to indicate the BU immediately adjacent to adenine in one of the DNA strands causes the latter to pair with guanine.
- But, in its rare(enol) state, 5BU behaves similarly to the tautomer of thymine and pairs with guanine.
- This converts A: T to G: C as shown in Figure 1z6.7.
2-Aminopurine(2-AP) is another base analogue which is a relatively undifferentiated purine that apparently can pair with cytosine and thymine.
- It is thought that 2-AP acts by “switching” pyrimidines: for example, it may be incorporated opposite thymine during one round of replication and then pair with a cytosine at the next round to produce an AT → GC transition(see Goodenough and Levine,1974).
Inhibition Of Precursors Of Nucleic Acids: There are some mutagens which interfere with the synthesis of nitrogen bases of nucleic acids such as purines or pyrimidines.
- Often lack of one base either causes breaks or pairing mistakes.
- For example, azaserine(a potent alkylating agent) inhibits purine synthesis and urethane(a mild alkylating agent) is an inhibitor of pyrimidine synthesis.
- However, urethane-induced chromosome breaks are inhibited by thymine.
Transversion: The substitution mutation when involves the substitution or replacement of a purine with a pyrimidine or vice versa then that type of substitution mutation is called transversion mutation.
- The existence of transversion mutation was first of all postulated by E. Freese in 1959. We still have poor information about the mechanism of induction, identification and characterisation of transversion mutations.
- Moreover, it is extremely difficult to recognise transversion mutations genetically. However, they can be recognized only by analysis of amino acid substitutions in proteins.
Effects Of Physical Conditions On Nucleotide Sequence
- High temperature and low pH values are known to affect depurination or loss of purine bases.
- The removal of a purine from a strand of DNA leaves a gap at that point. At the time of replication, it would be possible for any of the four bases to be inserted in the complementary newly formed strand.
- If the inserted nucleotide contained a purine, the complementary strand would contain a transversion.
Multiple Mutations Or Gross Mutations: When changes involve more than one nucleotide
or entire gene, then such mutations are called gross mutations. The gross mutations occur due to rearrangements of genes within the genome and may be of the following types:
- The rearrangement of genes may occur within a gene. Two mutations within the same functional gene can produce different effects depending on the gene whether they occur in the cis or trans position.
- The rearrangement of genes may occur in many genes per chromosome.
- If the number of gene replicas is non-equivalent on the homologous chromosomes, they may cause different types of phenotypic effects on the organisms.
- Due to the movement of a gene locus, new types of phenotypes may be created, especially when the gene is relocated near heterochromatin. The movement of gene loci may take place due to the following method:

- Translocation: Movement of a gene may take place to a non-homologous chromosome and this is known as translocation.
- Inversion: The movement of a gene within the same chromosome is called inversion.
Classification of Mutation According to the Origin
According to the mode of origin, the following two kinds; of mutations have been recognised:
- Spontaneous Mutations: Spontaneous mutations occur suddenly in nature and their origin is unknown. They are also called “background mutations” and have been reported in many organisms such as Oenothera, maize, bread moulds, microorganisms (bacteria and viruses), Drosophila, mice, human beings, etc.
- Induced Mutations: Besides naturally occurring spontaneous mutations, the mutations can be induced artificially in living organisms by exposing them to abnormal environments such as radiation, certain physical conditions (i.e., temperature) and chemicals.
The substances or agents which induce artificial mutations are called mutagens or mutagenic agents. Mutagenic agents. The mutagenic agents are of the following kinds:
Radiations: The radiations which are important in mutagenesis are of two categories: one type is ionising radiations such as X-rays and gamma rays; alpha and beta rays; electrons, neutrons, protons and other fast-moving particles.
The second type is non-ionising radiation such as ultraviolet and visible light. Both types of radiation induce mutations by following methods:

Ionising Radiations As Mutagens: Relatively little is known about the mechanism by which ionising radiations cause mutation.
As, we are already familiar that matter is composed of atoms and atoms, in turn, are made up of a positively charged atomic nucleus (with neutrons, and protons) and a surrounding constellation of negatively charged electrons.

- The charges of atomic particles remain so balanced that normal atoms are electrically neutral.
- When ionising radiations pass through matter, they dissipate their energy in part through the ejection of electrons from the outer shell of atoms and the loss of these balancing, negative particles(electrons) leaves atoms which are no longer neutral but are positively charged.
- The positively charged atom is called an ion. The ejected electrons move at high speed; knock other electrons free from their respective atoms and when their energy is dissipated, become attached to other atoms and convert the atoms into negatively charged ions.
- To achieve their stable configuration (i.e., neutral charge), ions undergo many chemical reactions and during these chemical reactions ionising radiation is thought to cause mutation.
- Further, ionizing radiations cause breaks in the poly-sugar phosphate backbone of DNA and, thus, cause chromosomal mutations such as break, deletion, addition, inversion and translocation.
- During the breakage of the DNA molecule due to ionising radiation, the active role of oxygen is predicted. Oxygen is important in the formation of H2O2 and H2O in irradiated water and these products may induce breaks in DNA molecules.

Non-Ionising Radiations As Mutagens: The ultraviolet(UV) light is a non-ionizing radiation which may cause mutation. The most effective wavelength of ultraviolet light-inducing mutations is about 2,600 A°.
- This is a wavelength that is best absorbed by DNA and a wavelength at which proteins absorb little energy.
- When a substance absorbs sufficient energy from the ultraviolet light, some of its electrons are raised to higher energy levels, a slate called excitation.
- The excited molecule becomes reactive and mutated and is called a photoproduct. Dimerization. The ultraviolet radiation produces several effects on DNA, one being the formation of chemical bonds between two adjacent pyrimidine molecules in a polynucleotide and particularly, between adjacent thymine residues.
- As the two thymine residues associate, or dimerize to form a dimer, their position in the DNA helix becomes so displaced that they can no longer form hydrogen bonds with the opposing purines and thus regularity of the helix becomes distorted.
- Thus, dimerization interferes with the proper base pairing of thymine with adenine and results in thymine pairing with guanine. This will produce a T-A to C-G transition.

Temperature As Mutagen: The rate of all chemical reactions is influenced by temperature. It is not surprising that temperature can be mutagenic.
- It is reported that the rate of mutation is increased due to an increase in temperature. For example, an increase of 10°C temperature increases the mutation rate two or three-fold.
- Temperature probably affects both the thermal stability of DNA and the rate of reaction of other substances with DNA.
- A study by Swedish nudists indicated that the scrotal temperature of human males in ordinary clothing is about 3°C higher than that of nude males.
- The higher temperature could well increase the mutation rate nearly two-fold, leading the investigators to suggest that the wearing of pants has possibly been much more unhygienic than fall out from testing of nuclear devices threatens to be.
- They suggested the wearing of kilts as one solution.
Chemical Mutagens: Many chemical substances have been responsible for increasing (the mutability of genes.
- The ability of chemicals to induce mutation was first demonstrated by Auerbach and Robson in 1947 using mustard gas, and related compounds as nitrogen and sulphur mustards, mustard oil and chloracctonc in experiments with male Drosophila melanogaster.
- Since then many chemical compounds which are ordinarily considered to be non-toxic are mutagenic in certain specific situations.
- Any chemical substance that affects the chemical environment of chromosomes is likely to influence, at least indirectly, the stability of DNA and its ability to replicate without error.
- A chemical mutagen can cause mutation only when it enters the nucleus of the cell.
- It can affect the chromosomal DNA in the following two ways:
Direct Gene Change: Certain chemical mutagens affect DNA directly. They affect the constituents of DNA only when DNA is not replicating.
- For example, nitrous acid converts adenine into hypoxanthine and cytosine to uracil by deamination.
- Like nitrous acid, nitrogen mustard, formaldehyde, epoxides, dimethyl and diethyl sulphate, methyl and ethyl methanesulphonate (MMS and EMS) and nitroguanidine (NG) also have direct mutagenic effects on the DNA molecule.
Copy Error: Certain chemical compounds, called base analogues(for example., 5-bromouracil, 2-aminopyrine, etc.) closely resemble certain DNA bases and therefore, act as mutagens.
- During DNA replication, they are incorporated by DNA in place of the normal DNA bases.
- Certain other base analogues such as urethane triazine, caffeine (in coffee, tea and soft drinks), phenol and carcinogens, and acridines (proflavin, etc.), have mutagenic effects.
- Certain inorganic substances such as manganese chloride are mutagenic for many organisms, as, they are the compounds which bind calcium and. thus, interfere with the integrity of the chromosome structure.
Classification Of Mutation According To The Direction
According to their mode of direction, the following types of mutations have been recognised:
- Forward Mutations: In an organism when mutations create a change from wild-type to abnormal phenotype, then that type of mutations are known as forward mutations. Most mutations are forward-type.
- Reverse Or Back Mutations: The forward mutations are often corrected by an error-correcting mechanism so that an abnormal phenotype changes into a wild-type phenotype. They may be of the following types:
- Single-Site Mutations: Some reverse mutations change only one nucleotide in the gene and are called single-site mutations. For example, due to forward mutation the adenine is changed into guanine and backward mutation changes guanine into adenine:

- Mutation Suppressor: When a mutation occurs at a different site from the site where already primary mutation occurred and that mutated gene reverses the effects of the primarily mutated gene, then such(secondary) mutations are called mutation suppressors. They may be of the following types:
- Extragenic suppressor: The extragenic suppressor mutation occurs in a different gene from that of the mutant gene.
- In E. coli, a gene mutation suppressor gene called rec A(rec for recombination) is known which is necessary for recombination and is found to repair ultraviolet-induced thymine dimers of a gene by a process called postreplication recombinational repair (see Goodenough and Levine, 1974).
- Intragenic Suppressor. The intragenic suppressor mutation occurs in a different nucleotide within the same gene and shifts the reading frame back into the register.
- Photoreactivation: In photoreactivation type reverse mutation, the reversal of ultraviolet-induced thymine dimers takes place by specific enzymes in the presence of visible light waves.
- During ultraviolet radiation, a particular enzyme is selectively bound to the bacterial DNA.
- During photoreactivation, the enzyme is activated by visible light and that cleaves the pyrimidine or purine dimers into monomers and restores their original forms.
- Excision Repair Or Dark Reactivation. In an ultraviolet(UV) induced mutation, the reverse mutation may also occur in the absence of light.
According to Howard Flanders and Boyce (1964), dark reactivation includes the following stages:
- An enzyme possibly endonuclease makes a cut in the polynucleotide strand on either side of the dimer which may be formed due to ultraviolet radiation and excises a short, single-strand segment of the DNA.
- Another enzyme, possibly exonuclease widens the gap produced by the action of the endonuclease.
- DNA polymerase synthesises the missing segment, using the remaining opposite strand as a template; and
- The final gap is closed by some enzymatic rejoining process, (i.e., DNA ligase).
Classification Of Mutation According To Magnitude Of Phenotypic Effect
According to their phenotypic effects following kinds of mutations may occur:
- Dominant Mutations: The mutations which have dominant phenotypic expression are called dominant mutations. For example, in human beings, the mutation disease aniridia (absence of iris of eyes) occurs due to a dominant mutant gene.
- Recessive Mutations: Most types of mutations are recessive so they are not expressed phenotypically immediately. The phenotypic effects of mutations of a recessive gene are seen only after one or more generations when the mutant gene can recombine with another similar recessive gene.
- Isoalleles: Some mutations alter the phenotype of an organism so slightly that they can be detected only by special techniques. Mutant genes that give slightly modified phenotypes are called isoalleles. They produce identical phenotypes in homozygous or heterozygous combinations.
- Lethal Mutations: According to their effects on the phenotype, mutations may be classified as lethals, subvitals and supervisors.
Lethal mutations result in the death of the cells or organisms in which they occur. Subvital mutations reduces the chances of survival of the organism in which they occur. Supervital mutations, in contrast, cause the improvement of biological fitness under certain conditions:
Classification Of Mutation According To Consequent Change In Amino Acid Sequence
- Missense Mutations: They change the meaning ofa codon, changing one amino acid into
another. - Temperature-Sensitive Mutations Or T8 Mutations: If the substitution produces a protein that is active at one temperature (typically 30°C) and inactive at a higher temperature(usually 40- 42°C).
- Nonsense Or Chain Termination Mutations: They arise when a codon for an amino acid is mutated into a termination codon(UAG, UAA or UGA), resulting in the production of a shorter protein.
- Since temperature-sensitive and chain termination mutations exhibit the mutant phenotype only under certain conditions, they are called conditional mutations; they are the most versatile and useful mutations.
- Silent Mutations: They change a nucleotide but not the amino acid sequence because they affect the third position of the codon, which is usually less important in coding. This is a silent mutation because it leaves the protein sequence unchanged.
Classification Of Mutation According To The Types Of Chromosomes
According To The Types Of Chromosomes, The Mutations May Be Of Following Two Kinds:
- Autosomal Mutations: This type of mutation occurs in autosomal chromosomes.
- Sex Chromosomal Mutations: This type of mutation occurs in sex chromosomes.
Mutation Rate
The frequency with which genes mutate spontaneously is called mutation rate. Most genes are relatively stable and mutation is a rare event.
- The great majority ofgenes have mutation rate of 1 × 10-5, viz., one gamete in 100,000 to one gamete in a million would contain a mutation at a given locus.
- Mutations occur much more frequently in certain regions of the gene than in others. The favoured regions are called hot spots.
The Mutation Rate Is Influenced By Various Factors Which Are As Follows:
- Genetic Control Of Mutation Rate: There is ample evidence showing that mutation rate is under genetic control, viz., certain genes called mutator genes may increase the mutation rate in Drosophila(Demere, 1937), maize(Rhoades, 1938) and£. coli(Goldstein, 1955).
- However, certain suppressor genes may decrease the rate of mutation. In bacteria, as well as in eukaryotes, spontaneous mutations most frequently are caused by transposons which are segments of DNA that tend to jump around the genome.
- Viral Control Of Mutation Rate: The virus reportedly affects the mutability of the host’s genes. Sprague (1963) experimented with maize and suggested that the virus may cause mutation.
- Familiar (1967) reported that viruses increase the mutation rate in Drosophila melanogaster. But, still, we do not know how viruses increase the mutability of host genes.
- Environmental Control Of Mutation Rate: Three major environmental factors affect mutation rates, viz, temperature, certain radiations and chemicals.
Method Of Detection Of Sex-Linked Lethal Mutation
H.J. Muller devised an easy method for detecting lethal mutations in the sex chromosomes of Drosophila. This is called a CIB method in which a special type of female fly is employed which carries a normal X chromosome and an abnormal X chromosome.
- The abnormal X chromosome contains an inversion mutation C (which prevents the chromosome to do crossing over with the normal X chromosome, therefore, called crossover suppressor), a recessive lethal mutational gene, I and a dominant gene B for bar-eye.
- In Muller’s CIB technique, these CIB female flies are mated with males which were previously treated with some mutagenic agent (such as Xrays) to cause mutation in some of their sperms.
- The resulting zygotes are of four types and one of these, the CIB male, fails to survive because such embryos contain a recessive lethal which expresses itself when hemizygous.
- Thus, only one class of male(with CIB X chromosome) male remains to fertilize the F1 females. Each heterozygous CIB female results from the fertilization of a CIB egg and an irradiated X-bearing sperm and some of these sperms will contain mutated X-chromosomes.
- Mated F( heterozygous CIB females are distributed individually into culture tubes in which each lays fertile eggs and so produces a single F2 culture. The culture produced by females bearing an induced lethal mutation contain only females; whereas females bearing irradiated X-chromosomes in which no recessive lethal has been induced yield cultures containing some wild-type males.
- Thus, if in a population of 1000 cultures, 990 contained some males and 10 contained only females, the induced rate of sex-linked, recessive lethal mutations would be 1 per cent.

Besides the CIB method, there are many more methods such as the Muller-5 method (for the detection of sex-linked lethal mutations); the attached X-method (for the detection of sex-linked visible mutations); balanced lethal systems(for the detection of autosomal mutations); and Stadler’s method and Singleton’s method (for the detection of specific loci in plants).
Practical Applications Of Mutations
Mutations are generally deleterious and recessive for the organisms, therefore, the majority of them are of no practical value.
- A. Gustafsson has estimated that less than one in 1000 mutants produced may be useful in plant I breeding. In India, several useful mutations of various cereals and other crop plants have been developed.
- Wheat. In bread wheat, many useful mutations have been obtained and utilised in plant breeding, e.g., branched ears, lodging resistance, high protein and lysine content, amber seed colour and awned spikelets.
- Dr M.S. Swaminathan, one of the most distinguished and legendary in the field of cytogenetics and plant breeding in the Indian subcontinent, had utilised amber mutation of Mexican wheat variety to develop a new variety of wheat, called Sharbati Sonora while working at Indian Agriculture Research for Institute(IARI), New Delhi.
- According to Dr. N.E. Borlaug(Nobel Laureate), this variety of wheat paved the way for the Green Revolution in India(see Gupta, 1994).
- Rice. In rice, one of the high-yielding varieties Reimei was developed through mutations isolated after gamma irradiation. Certain developed mutants of rice are found to contain increased contents of proteins and lysine. In certain other mutant rice, the duration of the crop was reduced by as many as 60 days.
- Barley. In barley, mutations called erectoides and eceriferum have been induced. These mutants had high yields including several useful characters.
Significance Of Mutation
The vast majority of mutations are deleterious to the organism and are kept at low frequency in the population by the action of natural selection.
- Mutant types are generally unable to compete equally with wild-type individuals.
- Even under optimal environmental conditions, many mutants appear less frequently than expected.
List Of Varieties Of Crop Plants Released By The Use Of Induced Mutations:

Alteration In The Genetic Material Questions And Answers
Question 1. Why are most mutations in structural genes recessive to their wild-type alleles?
Answer:
- Wild-type alleles usually code for complete, functional enzymes or other proteins.
- One active wild-type allele can often cause enough enzyme to be produced so that normal or nearly normal phenotypes result (dominance).
- Mutations of normally functioning genes are more likely to destroy the biological activities of proteins.
- Only in the complete absence of the wild-type gene product would the mutant phenotype be expressed recessiveness.
Question 2. If the mutation rate of a certain gene is directly proportional to the radiation dosage and the mutation rate of Drosophila is observed to increase from 3% at 1000 R to 6% at 2000 R. What percentage of mutations would be expected at 3500 R?
Answer: 10.5%.
Question 3. The X-linked recessive mutations are more easily studied in appropriate organisms than are autosomal ones. Why?
Answer: Recessive mutations are more easily detected in hemizygous males.
Question 4. Some individuals have a patch of blonde hair in a head of brown hair. What types of mutation would this be?
Answer: Somatic mutation.
Question 5. If a drastic alteration occurred in the structure of one of the genes for 28S rRNA, do you think that the translation of mRNA into protein would cease? If not, why not?
Answer:
Translation would not cease since numerous genes for rRNA are present in the genome. The mutation ofone of these would probably not interfere with protein synthesis.
Question 6. What possible explanations can you offer for the reversion of a mutant to the wild-type phenotype?
Answer:
Intragenic mutation within thesame codon, either restoring the original amino acid or resulting in the presence of a compatible amino acid; intragenic mutation within the same cistron, such as one that restores the normal reading frame; intergenic direct suppression, such as alteration in some component directly involved in protein synthesis, for example, tRNA; intergenic indirect suppression by an alteration in the cellular milieu.
Question 7. How many base pairs would have to be deleted in a mutational event to eliminate a single amino acid from a protein and not change the rest of the protein?
Answer: Three, as any other number of deletions (or additions) would cause a frameshift and other amino acid changes.
Question 8. The “dotted” gene in maize(Dt) is a “mutator” gene influencing the rate at which the gene for colourless aleurone(a) mutates to its dominant allele(A) for coloured aleurone. An average of 7.2 coloured dots (mutations) per kernel was observed when the seed parent was dt/dt, a/ a and the pollen parent was Dt/Dt, a/a. An average of 22.2 dots per kernel was observed in the reciprocal cross, How can these results be explained?
Answer:
The seed parent contributes two sets of chromosomes to the triploid endosperm; one Dt gene gives 7.2 mutations/kernel, and two Dt genes increase mutations to 22.2/kernel.
Question 9. What is the difference between substrate and a template transition mutation?
Answer:
In replicating DNA, a transition mutation can occur by tautomerization of a base in the template strand (template transition) or entering the progeny strand (substrate transition).
Question 10. 5-bromouracil, 2-aminopurine, proflavin, ethyl ethane sulphonate and nitrous acid are chemical mutagens. What does each do?
Answer:
- 5-bromouracil(pyrimidine analogue) and 2-aminopurine(purine analogue) are incorporated into DNA as thymine and adenine, respectively.
- However, each undergoes tautomeric shifts more frequently than the normal base. Both cause transitions.
- Nitrous acid also promotes transitions by converting cytosine into uracil, which acts like thymine, and adenine into hypoxanthine, which acts like guanine.
- Proflavin induces insertions and deletions by intercalating and buckling DNA. Ethyl ethane sulphonate removes purine rings and thus promotes transitions and transversions.
Alteration In The Genetic Material Multiple Choice Questions And Answers
Question 1. Mutation is
- Change that is inherited
- Change in a parent not inherited
- Plant growth controlling factor
- Change which affects the offspring of F2 generation
Answer: 1. Change that is inherited
Question 2. Gene mutation is
- Mutation in the genes of DNA
- Mutation in phosphodiester linkage
- Mutation in chromosomes
- Change in the sequence of nitrogenous bases
Answer: 4. Change in the sequence of nitrogenous bases
Question 3. Mutations which normally happen randomly are considered one of the raw materials for evolution because they
- Are stable
- Contribute new variation in an organism
- Cause the death of the organism
- None of these
Answer: 2. Contribute new variation in an organism
Question 4. Proflavin and acridine orange induce
- Transitions
- Transversions
- Inversions
- Frameshift mutations
Answer: 4. Frameshift mutations
Question 5. Induction of mutation by X-rays was discovered by
- Morgan
- Hugu devices
- Muller
- Luria
Answer: 3. Muller
Question 6. Who is associated with the “Green Revolution” in India?
- B.P. Pal
- M.S. Swaminathan
- R.S. Paroda
- EJ. Butler
Answer: 2. M.S. Swaminathan
Question 7. Low temperature is mutagenic in
- Wheat
- Maize
- Rice
- Mustard
Answer: 3. Rice
Question 8. Frequency of mutation
- Varies with characters and organisms
- Can be increased by X-rays
- Is greatly affected by environmental factors
- All of the above
Answer: 4. All of the above
Question 9. Which of the following mutagens can be best used in inducing mutation in microorganisms?
- X-rays
- β-rays
- UV-rays
- ϒ-rays
Answer: 3. UV-rays
Question 10. Why are haploids superior to diploids in the study of mutations?
- They have a shorter lifetime
- Smaller number of chromosomes
- They allow the expression of recessive mutation immediately
- Obtained in large numbers
Answer: 3. They allow the expression of recessive mutation immediately

Leave a Reply